Πανελλήνια Ομοσπονδία Πενταετούς Υποχρέωσης & Συμβασιούχων Πυροσβεστών
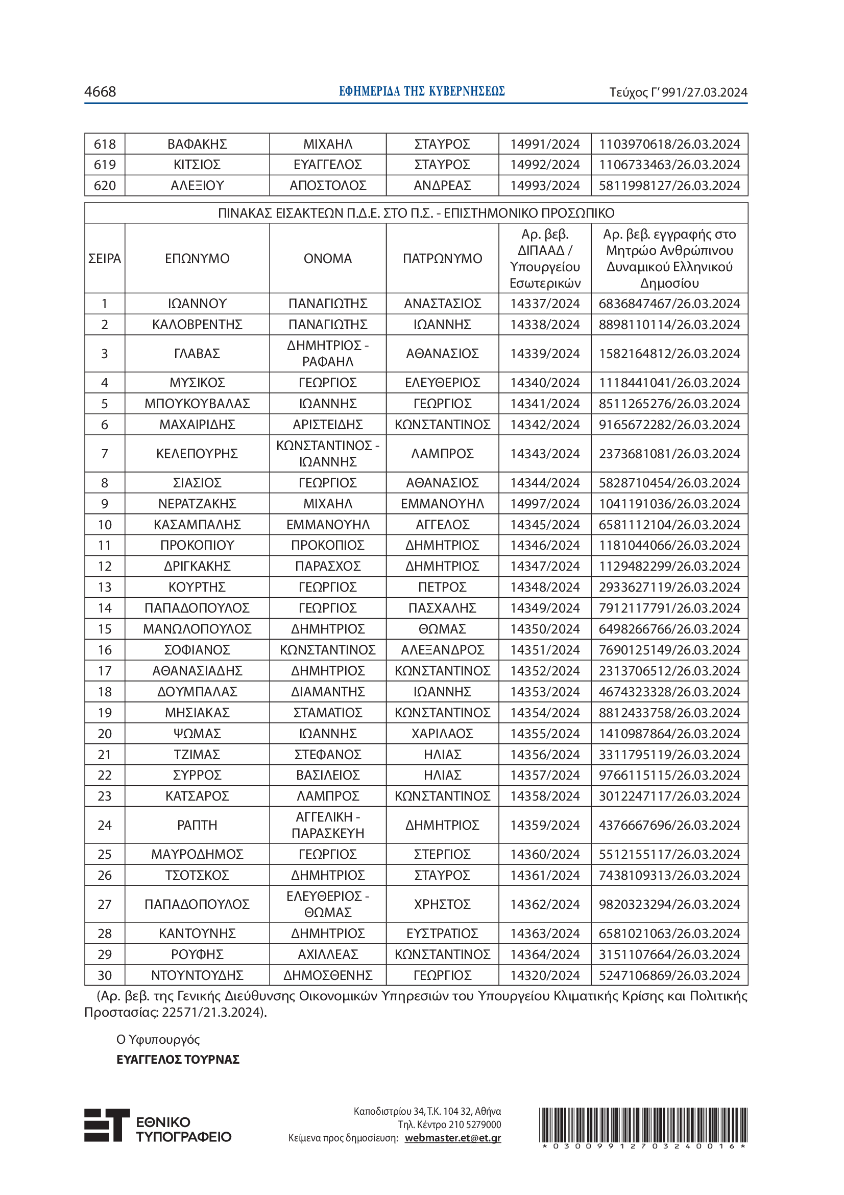
Επιτυχόντες - Εισακτέοι στο διαγωνισμό Πρόσληψης εξακοσίων πενήντα (650) Πυροσβεστών Δασικών Επιχειρήσεων (Ε.ΜΟ.Δ.Ε.)
- Details
- Written by: Super User
- Hits: 1015
















Συνάντηση της Ομοσπονδίας με τον Υφυπουργό Εργασίας και Κοινωνικής Ασφάλισης, κ. Βασίλη Σπανάκη
- Details
- Written by: Super User
- Hits: 986


Συνάντηση της Ομοσπονδίας με τον Αρχηγό του Π.Σ. Αντιστράτηγο Θ. Βάγια
- Details
- Written by: Super User
- Hits: 2283





Συνάντηση της Ένωσης Πυροσβεστικών Υπαλλήλων Νομού Ιωαννίνων με τον Υφυπουργό Κλιματικής Κρίσης και Πολιτικής Προστασίας, κ. Ευάγγελο Τουρνά
- Details
- Written by: Super User
- Hits: 1128


Παράταση αντί για μονιμοποίηση της θητείας των Π.Π.Υ. με τροπολογία που προστίθεται σε Νομοσχέδιο του Υπουργείου Παιδείας και Θρησκευμάτων
- Details
- Written by: Super User
- Hits: 1558





Page 38 of 179




